直流高压发生器常规电力电缆试验接线及计算方法
直流高压发生器常规实验之电力电缆试验,理论上交流或直流高压试验回路内均应设置限流电阻R,其目的是当试品Cx回路放电或击穿时起限制电流作用,不至于在高压短路时损坏试验设备。电缆试验时如果电缆有故障,在电路中加入限流电阻,可以保护设备仪器。具体接线方式如图所示:
根据国标《电气设备交接试验标准》:
1 、耐压电压保准
(1)纸绝缘电缆直流耐压可采用下式计算:
对于统包绝缘(带绝缘):
对于分相屏蔽绝缘:
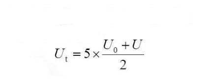
(2)18/30kV及以下电压等级的橡塑绝缘电缆直流耐压试验电压,应按下式计算:
2、直流高压发生器进行试验时,试验电压可分为4-6阶段均匀升压,每阶段停留1分钟,并读取泄露电流值。试验电压升至规定电压后维持15分钟,期间读取1分钟和15分钟时泄漏电流。测量时消除杂散电流的影响。
3、纸质绝缘电缆泄露电流不平衡系数不应大于2;当6/10KV及以上电缆的泄露电流小于20uA和6KV及以下电压等级电缆泄露电流小于10uA,其不平衡系数不作要求。
检查确认仪器等无异常情况后,接通单相交流220V电源开关,此时绿灯亮,表示电源接通。可开始进行试品的直流泄漏和直流耐压试验。
按红色按钮,则红灯亮,表示高压接通,待升高压。
顺时针方向平缓调节调压电位器,输出端即从零开始升压。升压速度以每秒3-5kV上升试验电压为宜。对于大电容试品升压时则需要缓慢升压,否则可能导致电压过冲,还需监视电流表充电电流不超过直流发生器的最大充电电流。当升到所需的电压或电流后,按规定时间记录电流表及电压表的读数。
试验完毕后,降压,将调压电位器回零后电赡绿色钮,切断高压并关闭电源开关。
- 上一篇: 变压器雷电冲击试验标准及试验波形分析
- 下一篇: 高压开关动特性测试仪常规测试设置方法













